近日,国际海岸工程知名期刊Coastal Engineering发表了来自毛巾哥 的最新研究成果“Comparative study on volume conservation among various SPH models for flows of different levels of violence”(不同流体流动剧烈程度下多种SPH模型的体积守恒性对比研究),该成果的第一作者为毛巾哥 硕士研究生汪明智,毛巾哥 潘毅教授为通讯作者,中山大学孙鹏楠副教授为共同通讯作者。
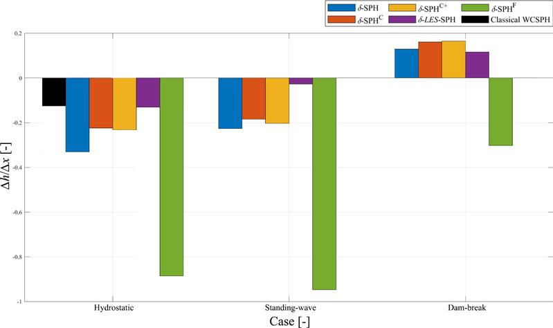
研究团队对多种弱可压缩光滑粒子流体动力学(WCSPH)模型进行了体积守恒性研究。近年来,不断有改进的WCSPH模型被提出,其中δ-SPH、δ-SPHC、δ-SPHC+、δ-LES-SPH和δ-SPHF等模型被广泛应用于海岸工程数值模拟,这些改进模型具有各自显著的特性(图1),并由此带来不同的体积守恒性。该研究通过长时间尺度、考虑多种分辨率与初始水深的静水、驻波和溃坝等3种算例(图2),测试这些模型模拟流体运动时,在演化自不同剧烈程度流动的“准静水”工况下水位随时间的变化过程,以对比这些模型的体积守恒性(图3)。该研究发现,在改进模型中δ-LES-SPH模型具有最好的体积守恒性,其它模型在分辨率较高的情况下体积守恒性满足长时间尺度的应用需求。该研究还发现δ-SPHF模型具有相对较弱的体积守恒性,对此本研究对该模型提出了新的数值改进。这项研究量化了多种改进WCSPH模型在长时间尺度下,由多种剧烈程度流动演化至静水状态后其水位的变化情况(图4),为未来WCSPH模型在海岸工程领域的应用提供了参考。

图1 多种WCSPH改进模型的特征对比
(a)
(b)
(c)
图2 研究采用的算例初始布置:(a)静水、(b)驻波和(c)溃坝

图3 多种水深和分辨率下的各模型无量纲平均水位时间序列(以驻波算例为例)

图4 各模型在不同算例下第2000s的水位变化

发表文章列表:
Mingzhi Wang, Yi Pan*, Xukun Shi, Jinli Wu, Pengnan Sun**, Comparative study on volume conservation among various SPH models for flows of different levels of violence, Coastal Engineering, Volume 191, 2024, 104521, ISSN 0378-3839, //doi.org/10.1016/j.coastaleng.2024.104521.
文章链接://www.sciencedirect.com/science/article/pii/S0378383924000693

